INTRODUCTION:
The Stromal Antigen 2 ( STAG2), on Xq25, is the most common cohesin complex gene mutated in myeloid neoplasms (MN) (5-10%). STAG2 mutations ( STAG2m) were incorporated in the ELN2022 as AML-MDS defining genetic mutations inferring poor prognosis and is a genetic marker in IPSS-M risk stratification. The PHD-finger protein 6 ( PHF6) gene, on Xq26.3, is a tumor suppressor gene, mutated in 3% of MN, and is more common in T-ALL. PHF6m is believed to be a late event in MN with little data on its prognostic implications in MN. Both STAG2m and PHF6m are more prevalent in males, but their implications on the clinical presentation of MN have not been compared prior.
METHOD:
Our study is a multicenter study at Mayo Clinic (Rochester, Florida, Arizona). After IRB approval, we retrospectively analyzed charts of 7935 patients who had NGS between 2016-2022. STAG2m was found in 96 patients, and PHF6m in 116 (including 3 with concurrent STAG2m and PHF6m). We excluded 4 PHF6m patients who had T-ALL. Data was captured at time of NGS. MDS risk stratification was by IPSS-M and AML by ELN2022. Overall survival (OS) was calculated from date of NGS to date of last follow-up. BlueSky Software was used for statistical analysis.
RESULTS:
Characteristics: We compared 96 STAG2m vs 112 PHF6m MN patients. Of STAG2m cases, 78% were male vs 76% in PHF6m MN. Median age was 72 vs 73 years, respectively. Diagnoses included AML (29% of STAG2m vs 34% of PHF6m MN), MDS (54% vs 28%), MDS/MPN (10% vs 21%) and MPN (3% vs 9%). MDS was more common among STAG2m MN (p<.001) while MDS/MPN was more common among PHF6m MN (=.05). MDS-IB was the most common subtype in both (69% vs 52% in STAG2m vs PHF6m MDS). MDS-LB and 5q subtypes were only found in PHF6m MDS, and there was more PHF6m MDS-RS (13% vs 2%). Median IPSS-M score was 0.9 vs 0.8 in STAG2m vs PHF6m MDS (both high-risk). Majority of STAG2m AML were adverse risk (96%) while PHF6m AML were intermediate (79%) (p<.001). AML cases included 43% vs 30% secondary AML (sAML) in STAG2m vs PHF6m AML. Among STAG2m and PHF6m MN, 17% of each were tMN. Cytogenetic abnormalities were more common in PHF6m MN (50% vs 31%, p=.005). The median bone marrow (BM) blasts count among STAG2m MN was 7% vs 4% in PHF6m MN (p=.03).
Genetic characteristics:STAG2m were nonsense, frameshift and splice site (54%, 36% and 11%). PHF6m were nonsense, frameshift, splice site, missense and start loss variant mutations (44%, 33%, 12%, 10% and 1%). The median variant allele frequency (VAF) of STAG2m MN was 50% compared to 32% in PHF6m MN (p=.008).
Co-mutations: The median number of co-mutations was 3 in STAG2m and 4 in PHF6m MN (p=.04). The most common were TET2m (37% in STAG2m MN vs 45% in PHF6m MN), RUNX1m (31% in both), SRSF2m (39% vs 20%), ASXL1m (66% vs 38%), BCORm (19% vs 6%), U2AF1m (13% vs 14%) and IDH2m (18% vs 7%). ASXL1m, SRSF2m, BCORm, IDH2m and SF3B1m were more common among STAG2m MN (p=<.001, .003, .006, .02, .09). JAK2m, IDH1m are more common among PHF6m MN (p=.02, .06).
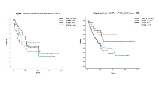
Survival: Of STAG2m and PHF6m MN, 70% and 72% of patients received treatment. HSCT was performed in 23 (24%) and 23 (21%) of STAG2m and PHF6m patients, including AML (n=9, n=10), MDS (n=12, n=8), MDS/MPN (n=2, n=2). OS among STAG2m and PHF6m MN was 20.5 and 22.1 months, respectively. OS among AML cases was 13.5 vs 21 months (p=.6) in STAG2m vs PHF6m, was NR vs 22 months (p=.4) in MDS, 11.7 vs 17.6 months in MDS/MPN (p=.4), and 10.4 vs 27.4 months (p=.5) in MPN. There was no difference between males and females in either STAG2m or PHF6m MN. HSCT led to longer OS among both STAG2m (NR vs 19.9 months, p=.01) and PHF6m MN patients (NR vs 17.6 months, p=.07). Among AML patients, HSCT did not significantly impact OS (18 vs 9.6 months, p=.3 and 25.1 vs 21 months, p=.2, in STAG2m and PHF6m). HSCT improved OS in STAG2m MDS (NR vs 20.5 months, p=.03). In PHF6m MDS, OS was 22.1 vs 13.1 months in HSCT vs non-HSCT (p=.3).
CONCLUSION:
STAG2m and PHF6m are 2 X-linked mutations that occur in MN. Both commonly occur in elderly males. MDS was the most common diagnosis in STAG2m MN. STAG2m co-occurred particularly with SRSF2m ASXL1m and BCORm, which are associated with poor prognosis. In our cohort, STAG2m AML carried a poorer prognosis than PHF6m AML. Our study confirms the ELN2022 AML risk stratification. MDS risk classification and OS did not differ between STAG2m and PHF6m in our cohort. A larger cohort is required to confirm our findings and may provide stronger validation.
Disclosures
He:Kura Oncology, Inc: Consultancy. Begna:MEI Pharma: Research Funding; Immunogen: Research Funding; Novartis: Membership on an entity's Board of Directors or advisory committees. Patnaik:Epigenetix: Research Funding; Kura: Research Funding; CTI BioPharma: Membership on an entity's Board of Directors or advisory committees; StemLine: Research Funding. Shah:MRKR Therapeutics: Research Funding; Celgene: Research Funding; Astellas: Research Funding; AbbVie: Research Funding. Alkhateeb:Mayo Clinic: Current Employment.

This feature is available to Subscribers Only
Sign In or Create an Account Close Modal